RLC直列回路の過渡現象(臨界制動)
R2=4L/Cの場合に、微分方程式の解は、

となり、等根の場合は、

ここで、初期条件として、

とすれば、係数は

と求められ、電流、電荷は次のようになる。

この過渡的な電流が最大になるのは、

ただし、tmax=1/αである。
軟磁性材料に関するお問い合わせ
R2=4L/Cの場合に、微分方程式の解は、

となり、等根の場合は、

ここで、初期条件として、

とすれば、係数は

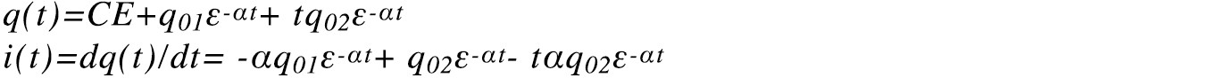
と求められ、電流、電荷は次のようになる。

この過渡的な電流が最大になるのは、

ただし、tmax=1/αである。
軟磁性材料に関するお問い合わせ